Компрессор THOMAS AP-40
| Новинка | да |
| Потребляемая мощность, Вт | 22 |
| Габаритные размеры, мм | 190x172x199 |
| Вес, кг | 4,6 |
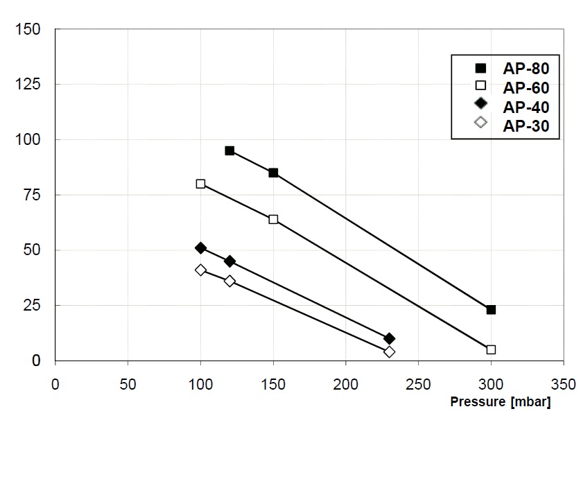
Описание
Размеры компрессора LP-серии:
Сферы применения компрессоров THOMAS:
1. В аэрационных станциях биологической очистки сточных вод (TOPAS, ЮБАС, ЮНИЛОС, Астра, Тверь, TopolWater, Тополь, БИОКСИ, БИОТАЛ, Евробион, ДЕКА, ЭКОЛОС и др.)
Компрессоры устанавливаются в специальном герметичном отсеке в верхней части станции (в некоторых моделях воздуховод проводится в дом и компрессор устанавливается в подсобном помещении).
За счёт подаваемого компрессором воздуха происходят следующие процессы в станции биологической очистки:
- перемешивание, измельчение канализационных стоков в первичной камере;
- перекачка эрлифтом уравненного стока в аэротенк;
- мелкопузырчатая аэрация в аэротенке;
- перекачка эрлифтом биологически активного ила из стабилизатора ила в первичную камеру (во втором цикле работы станции);
- откачка излишка ила с помощью эрлифта (при обслуживании станции).
2. Для аэрации садового пруда.
Компрессоры THOMAS подают в пруд необходимый водным обитателям воздух.
3. Для аэрации в больших и малых водоёмах.
Компрессоры THOMAS входят в состав аэрационной системы (компрессор - воздуховод - аэрационный элемент). Аэрация способствует быстрому разложению органических веществ, препятствует развитию водорослей (цветению воды). Вода в аэрируемом водоёме чистая и прозрачная.
4. Аэрация в бассейнах для выращивания ценных рыб (осетра, угря, форели).
Компрессоры THOMAS распыляют в воде необходимый для дыхания рыб кислород.
5. Аэрация в аквариумах и аквариумных хозяйствах.
Компрессоры THOMAS способствуют созданию благоприятной среды для аквариумных обитателей. Подача воздуха необходима как для дыхания рыб, так и для развития полезных аэробных микроорганизмов в аквариуме.
6. Аэрация в аквариумах для продажи живой рыбы.
Для поддержания живой рыбы в товарном виде необходима аэрация воды.
7. В очистных сооружениях, аэротенках.
Компрессоры THOMAS LP-200, THOMAS LW-200, LW-240 применяются в аэротенках очистных сооружений.
8. В декоративных пузырьковых панелях и колоннах.
Компрессор THOMAS подаёт воздух в пузырьковые панели и колонны.
9. В аэромассажных ваннах, купелях и бассейнах.
Компрессор THOMAS обеспечивает необходимый для аэромассажа ровный и чистый поток воздуха.
10. В медицинском и физиотерапевтическом оборудовании.
Компрессоры THOMAS применяются в медицинском и физиотерапевтическом оборудовании (в частности для прессотерапии).
Компрессоры THOMAS серии AP (технические характеристики) PDF
Компрессоры THOMAS серии AP (инструкция) PDF
Характеристики
| Новинка | да |
| Производитель (компания) | THOMAS |
| Страна производства | Германия |
| Потребляемая мощность, Вт | 22 |
| Производительность, л/мин | 45 |
| Подсоединение, дюйм | 18мм |
| Габаритные размеры, мм | 190x172x199 |
| Вес, кг | 4,6 |
Отзывы
- Комментарии
